普利制药成功开发的熊去氧胆酸(UDCA)原料药期待与大家一起开拓全球制剂市场
Poly Pharma has successfully developed Ursodeoxycholic acid (UDCA) and looks forward to exploring the global market with everyone.
普利制药成功开发熊去氧胆酸(UDCA)原料

普利制药通过合成生物学技术成功开发熊去氧胆酸(英文名:Ursodeoxycholic Acid,UDCA)。该产品通过基因工程菌株采用多酶联合催化特定底物的方法获得,产品纯度达到99%以上。
未来熊去氧胆酸将会在中国、美国、欧洲、日本、韩国等市场进行注册申报。
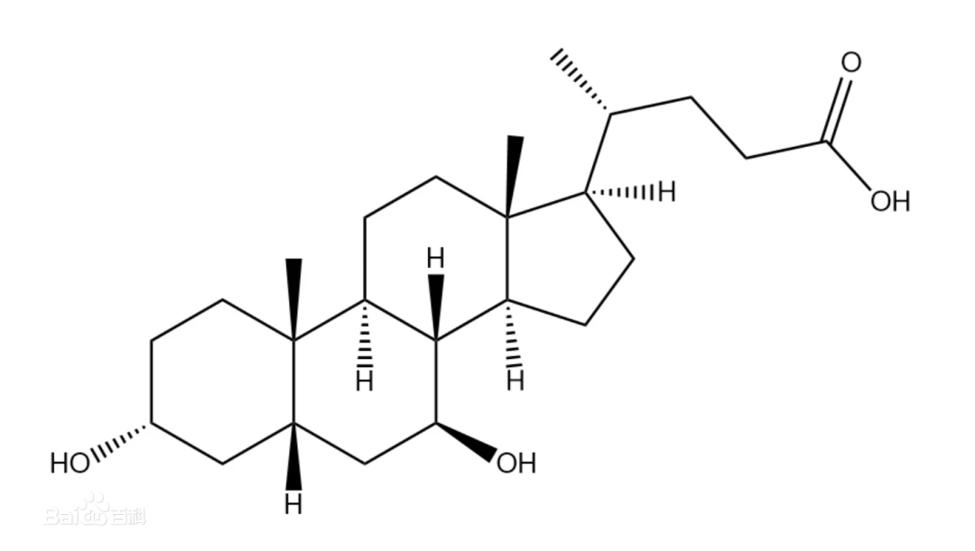
熊去氧胆酸(UDCA)

熊去氧胆酸是从熊胆汁中提取出来的一种亲水二羟胆汁酸,是熊胆中特有的成分。人体中由鹅去氧胆酸(Chenodeoxycholic Acid,CDCA)于肠道中通过代谢反应少量合成,在胆汁酸中约占3%。熊去氧胆酸能增加胆汁的分泌,抑制疏水性胆酸的细胞毒性,保护胆管细胞和肝细胞免受毒性胆汁损伤,改善患者的发病率和死亡率;同时能够通过改善肝移植后的原发性胆汁性肝硬化(PBC)患者肝酶水平,延缓肝组织学,进而降低疾病的复发率以及延长生存期。1997年,美国FDA批准UDCA为唯一一种用于治疗PBC的一线治疗药。
熊去氧胆酸最初是从熊体内提取获得,鉴于其具有较高的医疗价值,通过化学和生物方法开发人工合成熊去氧胆酸以满足临床迫切的需求,已成为该领域药物研究的热点。化学合成法通常以简便易得的动物胆酸(Cholic Acid, CA)为原料,经过氧化还原合成UDCA。该法虽然操作简单,试剂廉价,工艺成熟,但是化学有毒试剂以及手性难点等问题,成为工业技术转化的瓶颈。而生物合成法则利用生物酶催化合成UDCA,该方法具有绿色环保、简便、高效的优势,已成为工业化生产UDCA的主流。
熊去氧胆酸的应用
UDCA能够改善胆汁内胆固醇的饱和度、延缓病程进展,是目前治疗原发性胆汁性胆管炎(曾被称为原发性胆汁性肝硬化,PBC)的全球共识一线用药。
除PBC以外,临床上UDCA还被广泛用于胆汁反流性胃炎、其他胆管炎、妊娠期肝内胆汁淤积以及多种疾病背景下的肝保护。肝、胆疾病的治疗通常需要在纠正致病因素的同时改善关键指标、扭转疾病进程,充分利用肝脏的代偿性特点,尽可能提升患者病程期间的生存质量。
2022年12月,剑桥大学的研究人员在国际顶尖学术期刊Nature上发表了题为:FXR inhibition may protect from SARS-CoV-2 infection by reducing ACE2的研究论文。该研究显示,UDCA能够预防新冠病毒的感染,并可能有能力预防新冠病毒未来出现的突变株的感染。
熊去氧胆酸最初是从熊体内提取获得,鉴于其具有较高的医疗价值,通过化学和生物方法开发人工合成熊去氧胆酸以满足临床迫切的需求,已成为该领域药物研究的热点。化学合成法通常以简便易得的动物胆酸(Cholic Acid, CA)为原料,经过氧化还原合成UDCA。该法虽然操作简单,试剂廉价,工艺成熟,但是化学有毒试剂以及手性难点等问题,成为工业技术转化的瓶颈。而生物合成法则利用生物酶催化合成UDCA,该方法具有绿色环保、简便、高效的优势,已成为工业化生产UDCA的主流。
熊去氧胆酸市场容量


IMS数据显示,2023年全球熊去氧胆酸销售量6.39亿片/粒,原料消耗量1158吨,长期处于增长趋势,5年复合增长率为6.9%。

IMS数据显示,2022年日本熊去氧胆酸原料消耗量为约125吨,为全球消耗量的10.8%;韩国熊去氧胆酸原料消耗量为约86吨,为全球消耗量的7.4%;欧洲国家中的俄罗斯、意大利、德国、西班牙的消耗量均在全球前十,整个欧洲约为346吨。美国的消耗量也同样位列全球前十。
2022年中国熊去氧胆酸原料消耗量为约84吨,为全球消耗量的7.3%,较中国占世界人口18%的比例还有较大的增长空间,正处于快速增长期,5年复合增长率为18.2%。

实际上,熊去氧胆酸片/胶囊在中国已经成长为一个28亿的大品种。米内数据显示,2022年熊去氧胆酸片/胶囊的公立医院销售额已达25.6亿元,零售药店也达2.3亿元。
2022年熊去氧胆酸片/胶囊纳入国家第八批集中带量采购,首年约定采购量为12747.5378万片/粒。随着国家医疗反腐力度的加大,带量采购品种及其原料药具有显著的政策利好。
熊去氧胆酸作为普利制药合成生物学研发平台的研发品种之一,我们拥有自主研发的基因工程菌株,通过定向改造的多酶催化技术实现生产成本的降低,目前已完成放大工艺开发与产品质量研究,可以获得公斤级高纯度样品。
普利制药生物研发平台聚焦合成生物学技术,实现高附加值活性产物和重要医药中间体的生物制造,赋能生物医药行业的原研、创新。
未来熊去氧胆酸将会在中国、美国、欧洲、日本、韩国等市场进行注册申报,稳定且持续地服务于全球客户。
欢迎大家一起开拓全球制剂市场—熊去氧胆酸胶囊&熊去氧胆酸片。
In the future, ursodeoxycholic acid will be registered in China, the United States, Europe, Japan, South Korea and other markets to steadily and continuously serve global customers. welcome to explore the global market of ursodeoxycholic acid capsules & tablets.
乐鱼平台(中国)